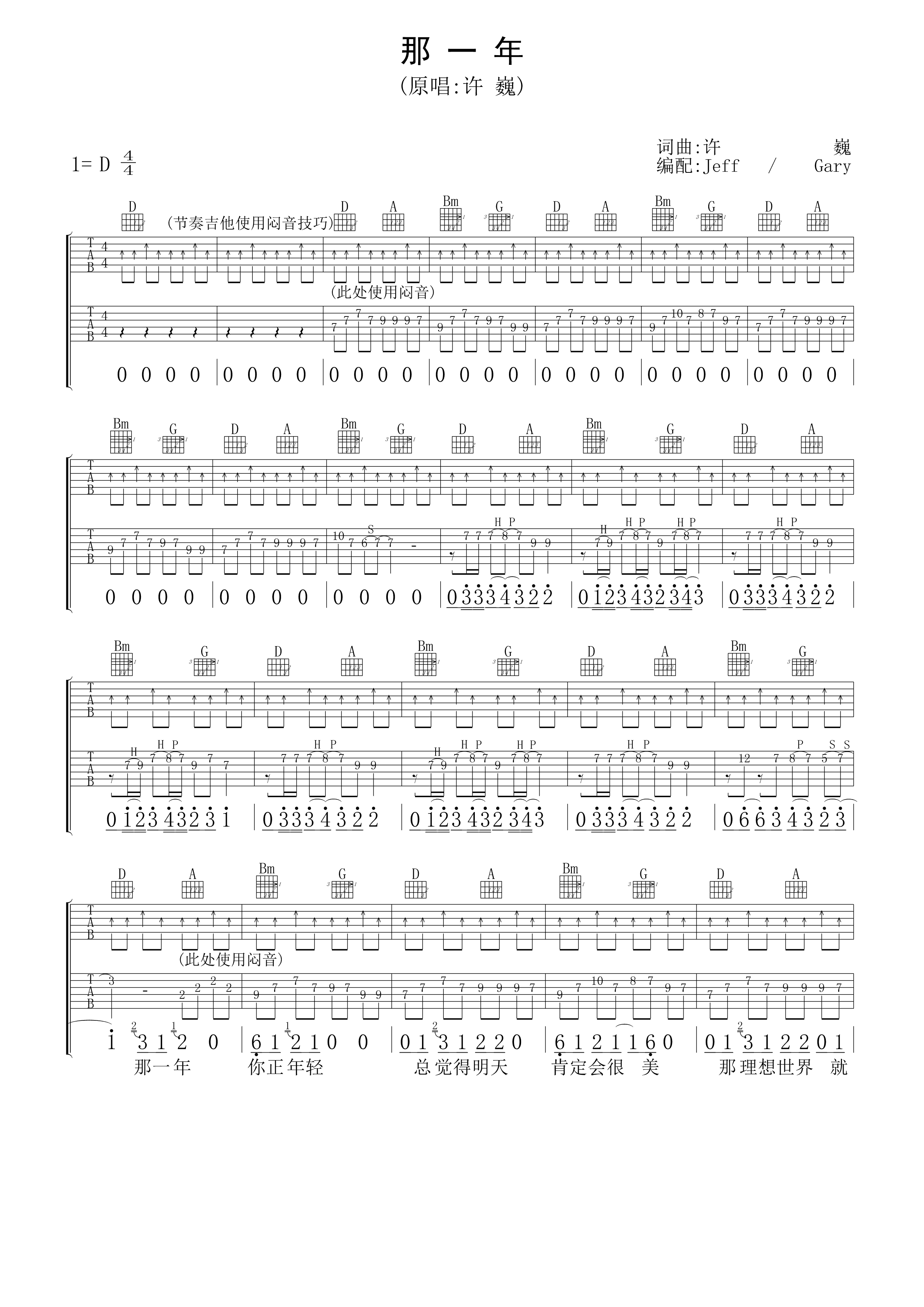
吉他谱介绍:那一年吉他谱,许巍演唱的一首歌曲,4/4拍的节奏,这首歌曲的原调为D调,这里曲谱采用了D调指法进行编配,演唱时可不夹变调夹,曲谱由曲谱网更新上传,共4张高清图片弹唱吉他谱例,来源于@Jeff编配出品。这首歌的特色在于,如果是双吉他配合演奏的话,效果会更好。此次分享的为双吉他版本的《那一年》弹唱吉他谱,采用D调指法,横按虽然较多,但是不难,需要注意的是前奏的闷音部分。

那一年吉他谱4-许巍
点击页面上方免费下载和打印 那一年吉他谱_许巍_D调原版双吉他谱曲谱,即可免费下载和打印本曲谱全部内容
简谱是音乐的密码本,音符是跳动的心电图。简谱之家帮助每个热爱音乐的人学习乐器
