把耳朵叫醒简谱_金海心演唱_黄征/黄征词曲-简谱

简谱相关栏目:简谱

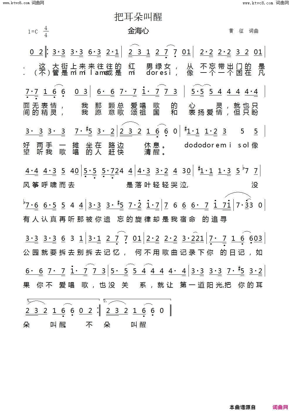
把耳朵叫醒简谱_金海心演唱_黄征/黄征词曲

点击页面上方免费下载和打印 把耳朵叫醒简谱_金海心演唱_黄征/黄征词曲曲谱,即可免费下载和打印本曲谱全部内容
简谱是音乐的密码本,音符是跳动的心电图。简谱之家帮助每个热爱音乐的人学习乐器

全站海量简谱任你下载,帮你实现音乐梦

扫描右侧二维码手机上查阅把耳朵叫醒简谱_金海心演唱_黄征/黄征词曲的简谱

扫一扫二维码