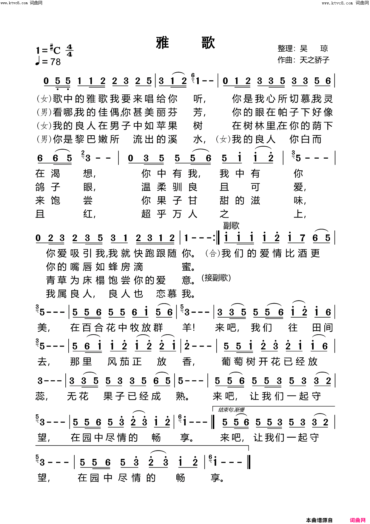
雅歌简谱_天籁天演唱_动态歌谱视频曲谱-简谱

简谱相关栏目:天籁天 雅歌 雅歌

雅歌简谱_天籁天演唱_动态歌谱视频曲谱



点击页面上方免费下载和打印 雅歌简谱_天籁天演唱_动态歌谱视频曲谱曲谱,即可免费下载和打印本曲谱全部内容
简谱是音乐的密码本,音符是跳动的心电图。简谱之家帮助每个热爱音乐的人学习乐器

全站海量简谱任你下载,帮你实现音乐梦

扫描右侧二维码手机上查阅雅歌简谱_天籁天演唱_动态歌谱视频曲谱的简谱

扫一扫二维码