

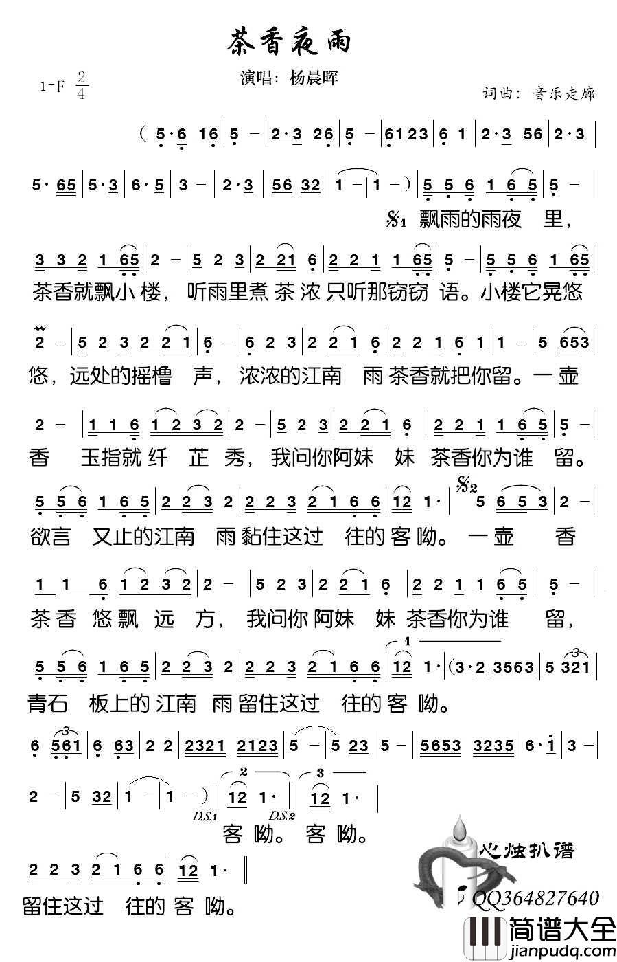
茶香夜雨简谱歌词
词:音乐走廊
曲:音乐走廊
和声:杨晨晖
录混:上海8G影音吴迪
发行:杨晨晖音乐工作室
飘雨的雨夜里
茶香就飘小楼
听雨里煮茶浓
只听那窃窃语
小楼它晃悠悠
远处的摇橹声
浓浓的江南雨
茶香就把你留
一壶香玉指就纤芷秀
我问你阿妹妹茶香你为谁留
欲言又止的江南雨
黏住这过往的客呦
一壶香茶香悠飘远方
我问你阿妹妹茶香你为谁留
青石板上的江南雨
留住这过往的客呦
飘雨的雨夜里
茶香就飘小楼
听雨里煮茶浓
只听那窃窃语
小楼它晃悠悠
远处的摇橹声
浓浓的江南雨
茶香就把你留
一壶香玉指就纤芷秀
我问你阿妹妹茶香你为谁留
欲言又止的江南雨
黏住这过往的客呦
一壶香茶香悠飘远方
我问你阿妹妹茶香你为谁留
青石板上的江南雨
留住这过往的客呦
一壶香茶香悠飘远方
我问你阿妹妹茶香你为谁留
青石板上的江南雨
留住这过往的客呦
留住这过往的客呦
点击页面上方免费下载和打印 茶香夜雨简谱_杨晨晖演唱_心烛001曲谱曲谱,即可免费下载和打印本曲谱全部内容
简谱是音乐的密码本,音符是跳动的心电图。简谱之家帮助每个热爱音乐的人学习乐器
