

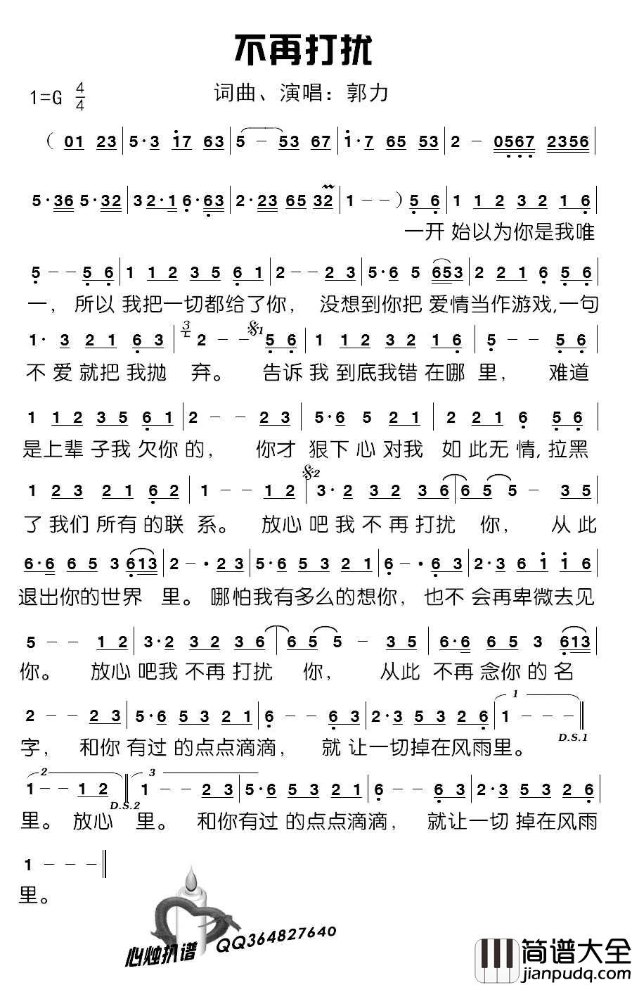
不再打扰简谱歌词
词:郭力
曲:郭力
编曲:李德奎
混音:刘城涵
一开始以为你是我唯一
所以我把一切都给了你
没想到你把爱情当作游戏
一句不爱就把我抛弃
告诉我到底我错在哪里
难道是上辈子我欠你的
你才狠下心对我如此无情
拉黑了我们所有的联系
放心吧我不再打扰你
从此退出你的世界里
哪怕我有多么的想你
也不会再卑微去见你
放心吧我不再打扰你
从此不再念你的名字
和你有过的点点滴滴
就让一切丢在风雨里
告诉我到底我错在哪里
难道是上辈子我欠你的
你才狠下心对我如此无情
拉黑了我们所有的联系
放心吧我不再打扰你
从此退出你的世界里
哪怕我有多么的想你
也不会再卑微去见你
放心吧我不再打扰你
从此不再念你的名字
和你有过的点点滴滴
就让一切丢在风雨里
放心吧我不再打扰你
从此退出你的世界里
哪怕我有多么的想你
也不会再卑微去见你
放心吧我不再打扰你
从此不再念你的名字
和你有过的点点滴滴
就让一切丢在风雨里
和你有过的点点滴滴
就让一切丢在风雨里
点击页面上方免费下载和打印 不再打扰简谱_郭力演唱_心烛001曲谱曲谱,即可免费下载和打印本曲谱全部内容
简谱是音乐的密码本,音符是跳动的心电图。简谱之家帮助每个热爱音乐的人学习乐器
