

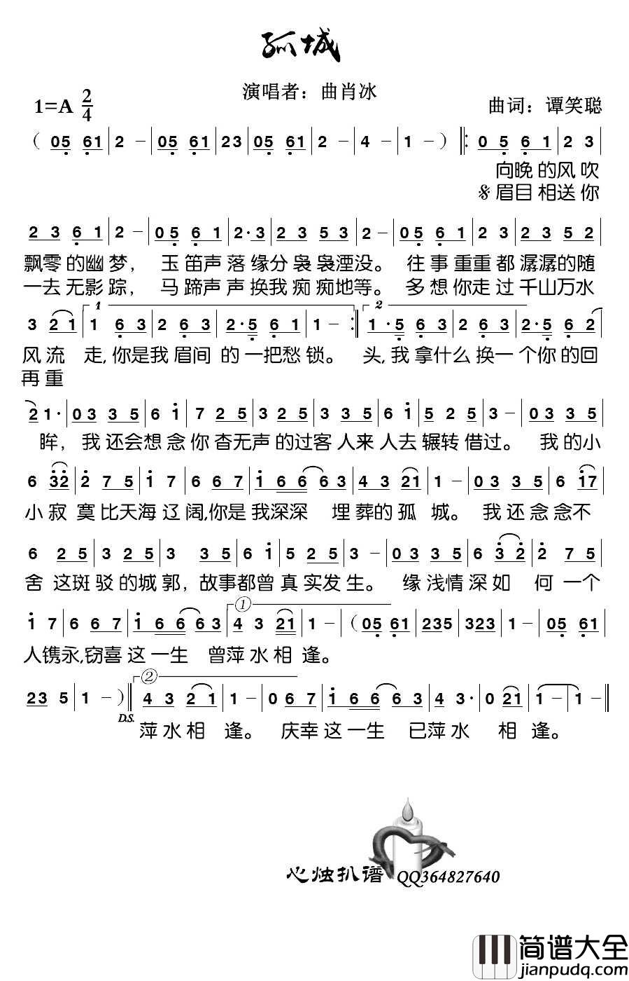
孤城简谱歌词
词Lyrics:谭笑聪
曲Music:谭笑聪
制作人Produced:刘涛
编曲Arranger:谭侃侃
录音棚Recordingstudio:好乐无荒录音棚
录音师RecordingEngineer:吴佳敏
混音师MixingEngineer:刘小刚
母带后期混音师MasteringEngineer:刘小刚
合声Backingvocals:金天
监制Executiveproducer:陶诗
OP:音海文化
向晚的风吹飘零的幽梦
玉笛声落缘分袅袅湮没
往事重重都潺潺的随风流走
你是我眉间的一把愁锁
眉目相送你一去无影踪
马蹄声声换我痴痴的等
多想你走过千山万水再重头
我拿什么换一个你的回眸
我还会想念你杳无声的过客
人来人去辗转借过
我的小小寂寞比天海辽阔
你是我深深埋葬的孤城
我还念念不舍这斑驳的城郭
故事都曾真实发生
缘浅情深如何一个人镌永
窃喜这一生曾萍水相逢
眉目相送你一去无影踪
马蹄声声换我痴痴的等
多想你走过千山万水再重头
我拿什么换一个你的回眸
我还会想念你杳无声的过客
人来人去辗转借过
我的小小寂寞比天海辽阔
你是我深深埋葬的孤城
我还念念不舍这斑驳的城郭
故事都曾真实发生
缘浅情深如何一个人镌永
窃喜这一生曾萍水相逢
庆幸这一生也萍水相逢
点击页面上方免费下载和打印 孤城简谱_曲肖冰演唱_心烛001曲谱曲谱,即可免费下载和打印本曲谱全部内容
简谱是音乐的密码本,音符是跳动的心电图。简谱之家帮助每个热爱音乐的人学习乐器
